[kpss]
2009 KPSS Genel Yetenek Soruları ve Çözümleri Online Test
Başla
%%FORM%%
Sınav Adı: 2009 KPSS Genel Yetenek Soruları ve Çözümleri Online Test
Soru Sayısı: %%TOTAL%%
Doğru Sayısı: %%SCORE%%
Yanlış Sayısı: %%WRONG_ANSWERS%%
Doğru yüzdesi: %%PERCENTAGE%%
Sınav İçin Verilen Süre: %%TIME_ALLOWED%% sn
Kullanılan Süre: %%TIME_USED%% sn
Değerlendirme Sonucu: %%RATING%%
Oops! We could not locate your form.
Yanıtlarınız aşağıdaki gibidir.
Soru 1 |
Halkımız günlük konuşmalarında, insana özgü birçok durumu, “yüz” sözcüğüyle kurulan sözsel bağdaştırmalarla anlatmıştır. Söz gelimi, övünmeyi gerektiren bir duruma [I] yüz akı, ortaya çıkan utanılacak duruma [II] yüz karası demektedir. Bir kimsenin çirkinliğini belirtmek için [III yüzüne bakılmaz ], karşısındakini utanacak duruma düşürenler için yüzünün derisi kalın sözünü kullanmaktadır. Bir kimsenin çok güzel olduğunu vurgulamak için de yüzüne bakmaya kıyamazsın deyimini...
Bu parçadaki altı çizili sözlerden hangisinin, kendinden önce verilen açıklaması yanlıştır?
Bu parçadaki altı çizili sözlerden hangisinin, kendinden önce verilen açıklaması yanlıştır?
A | I. |
B | II. |
C | III. |
D | IV. |
E | V |
1 numaralı soru için açıklama
Parçadaki altı çizili sözlerden “yüzünün derisi
kalın” sözünün açıklaması yanlış verilmiştir. Bu
sözün anlamı: “utanması, arlanması olmayan”
anlamındadır. Bu söz, parçada “karşısındakini
utanacak duruma düşürmek” olarak yanlış açıklanmıştır.
Diğer sözlerin açıklamalarında bir
yanlışlık yoktur. [Cevap D]
Soru 2 |
Öyküler dünyanın farklı yerlerinde geçse de
okuyanda tuhaf bir “bizden”lik duygusu uyandırıyor;
aşkın, kararsızlığın, tekinsizliğin ve yalnızlığın
evrensel olduğunu, bu öykülerde kendimizi
yazara yakalanmış hissettiğimizde bir kez daha
hatırlıyoruz.
Bu cümledeki altı çizili sözle, okurla ilgili olarak anlatılmak istenen aşağıdakilerden hangisidir?
Bu cümledeki altı çizili sözle, okurla ilgili olarak anlatılmak istenen aşağıdakilerden hangisidir?
A | Anlatılanları değişik biçimlerde algılama |
B | Yaşamla ilgili düşüncelerini pekiştirme |
C | Anlatılanları yaşadığını duyumsama |
D | Anılarına bağlı olarak mutluluk duygusuna
kapılma |
E | Okuduklarının doğruluk derecesini düşünme |
2 numaralı soru için açıklama
“Kendimizi yazara yakalanmış hissettiğimizde”
söz grubunda, anlatılanları yaşadığını duyumsama
anlamı vardır. Okuyucunun düşüncelerini,
hissettiklerini yazarın dillendirmiş olması anlamı
vardır.
(Cevap C)
Soru 3 |
Titizlikle, kılı kırk yararak ortaya koyduğu ürünlerini
kitaplaştırmak için yıllarca bekler; kendi deyişiyle,
“onların sirkeleşip sirkeleşmediğini” görmek
ister.
Bu parçadaki altı çizili sözle anlatılmak istenen aşağıdakilerden hangisidir?
Bu parçadaki altı çizili sözle anlatılmak istenen aşağıdakilerden hangisidir?
A | İstenilen yetkinliğe ulaşıp ulaşamama |
B | Eskiyip unutulma |
C | Olumlu ya da olumsuz yönlerden algılanma |
D | Zamanla çekiciliğini yitirip yitirmeme |
E | Başkalarınca örnek alınma |
3 numaralı soru için açıklama
Ürünleri kitaplaştırmadan önce onların sirkeleşip
sirkeleşmediğini görmeyi istemek, söz konusu
ürünlerin istenilen yetkinliğe ulaşıp ulaşamadığıyla
ilgilidir. Burada sirkeleşmenin olumsuz bir
çağrışımla anlaşılmaması gerekir. Böyle düşünüldüğünde
D seçeneğindeki ifade çeldirici bir
seçenek haline gelecektir. Ancak parçadaki anlam
dikkate alındığında A seçeneğindeki ifadenin
doğru olduğu anlaşılacaktır.
(Cevap A)
Soru 4 |
Bu sanatçımız daha kitabın başlarında uyarıyor
okurunu: “Ötekini oku; derinde, dipte duranı; ince
şeyler bunlar.” Bu sözler, onun şiirlerinin anlaşılması
için kendisinin cömertçe önümüze kattığı
kılavuzlardır. Bunlara dikkat edilmezse yanlış anlaşılabilir
onun şiiri, tekdüze bir tekrarlanış sanılabilir.
Bu parçadaki altı çizili sözle anlatılmak istenen aşağıdakilerden hangisidir?
Bu parçadaki altı çizili sözle anlatılmak istenen aşağıdakilerden hangisidir?
A | Ancak şiirsel birikimi olanların kavrayabileceği
anlamlar taşıma |
B | Açıkça söylenmemiş gizli anlamlar içerme |
C | Şairin istemediği yönde yorumlara yol açma |
D | Farklı olmaya çalışırken anlaşılmaz olma |
E | Karşıt anlamlar taşıma |
4 numaralı soru için açıklama
Parçadaki altı çizil sözle, görünen anlamın dışında,
kapalı olanı anlayabilme, gizli anlamlar kastedilmiştir.
(Cevap B)
Soru 5 |
Onun, yazma ve yaratma eylemindeki büyük
değişme ve gelişme, kendisinin hem okuru hem
de eleştirmeni olmasıyla başladı. Söz gelimi, ilk
denemelerinde sıfat kullanma tutkusundan kaynaklanan
sanatlı bir anlatımı vardı. Kendisiyle ilk
denemeleri üzerinde konuşurken bu tutumuna
değinir, “Yine sözcükleri renklerle donatıp onları
köpürtmüşsün.” diye takılırdım ona. Kimileyin
bunun gerekliliğini savunur kimileyin sesini
çıkarmaz, yalnızca gülümser geçerdi. Belli ki bir
öz eleştiri sürecine girerdi.
Bu parçadaki altı çizili sözle anlatılmak istenen aşağıdakilerden hangisidir?
Bu parçadaki altı çizili sözle anlatılmak istenen aşağıdakilerden hangisidir?
A | Söylenenleri okurun gözünde canlandıracak
anlatımlara başvurmak |
B | Sözcüklere yeni, çağrışımsal anlamlar yüklemek |
C | Söyleyiş yönünden süslü, gösterişli, kof bir
yapıyı yeğlemek |
D | Sözcüğün birkaç anlamını birlikte kullanmak |
E | Kolay anlaşılır, yalın nitelikte ürün vermek |
5 numaralı soru için açıklama
Sözcükleri renklerle donatıp onları köpürtmek,
süslü, gösterişli; ama içi boş hale getirmek anlamındadır.
“kof” sözcüğü “içi boş olan, anlam
zenginliği olmayan” anlamındadır. Burada yalnızca
altı çizili sözcük okunursa doğru cevaba
ulaşmak oldukça zorlaşacaktır. Bu da bize gösteriyor
ki bu tür soruları mutlaka parçanın anlam
bütünlüğünü gözeterek çözmemiz gerekiyor. (Cevap C)
Soru 6 |
(I) İçimize işlemiş “vefasızlık” duygusuna bir
tepki gösterme düşüncesiyle bu kitabı yazdım.
(II) Kitabımın başında da özellikle söylediğim gibi,
ben bu kitabı ustam Suavi Süalp’le birlikte,
mizahımıza yüreğini koymuş bütün mizahçılara
adadım. (III) Suavi Süalp bu kitabı çoktan hak
etmiş bir mizah dehasıydı. (IV) Ama 1981’de aniden
aramızdan ayrılınca ne yazık ki adı da mizahımıza
getirdiği yenilikler de unutuldu. (V) İstedim
ki onun adını bile duymamış gençler onu
tanısın. (VI) Gerçi bu kitapla ilgileneceklerini pek
sanmıyorum ama tarihe sağlam bir belge bırakmak
da yeter bana.
Bu parçada konuşan kişiye ilişkin numaralanmış cümlelerle ilgili olarak aşağıda verilenlerden hangisi yanlıştır?
Bu parçada konuşan kişiye ilişkin numaralanmış cümlelerle ilgili olarak aşağıda verilenlerden hangisi yanlıştır?
A | I. cümlede, kitabı neden hazırladığını
açıklıyor. |
B | II. cümlede, kimi sanatçıların emeğine duyduğu
saygıyı gösteriyor. |
C | III. cümlede, söz konusu kişiyi övgü dolu sözlerle
tanıtıyor. |
D | IV. cümlede, bir üzüntüsünü dile getiriyor. |
E | VI. cümlede, bir yanlışlığı düzelttiğinden söz
ediyor. |
6 numaralı soru için açıklama
Parçanın Vl. cümlesinde bir tahmin dile getirilmiş,
bunun yanında kitabı yazma amacı söylenmiştir.
Bu durumda E seçeneğindeki “bir yanlışlığı
düzeltme” ifadesinin yanlış olduğunu söyleyebiliriz. (Cevap E)
Soru 7 |
(I) Yaşamı boyunca az sayıda şiir yayımlamış bir
şairdir. (II) Bu yüzden bazen, tembel bir şair olduğu
bile söylenmiştir. (III) Oysa, tembellik gibi
görünen durum aslında başka bir şeydir. (IV)
Bazen bir şiir üzerinde iki, üç yıl süren titiz bir çalışma…
(V) Ta ki aksayan bir yön kalmayıncaya
ve kendisi, şiiri karşısında huzur buluncaya kadar…
Bir şair ve şiirinin anlatıldığı bu parçadaki numaralanmış cümlelerle ilgili olarak aşağıda verilenlerden hangisi yanlıştır?
Bir şair ve şiirinin anlatıldığı bu parçadaki numaralanmış cümlelerle ilgili olarak aşağıda verilenlerden hangisi yanlıştır?
A | I. cümlede, saptama yapılmıştır. |
B | II. cümlede, I. cümlede belirtilenle ilgili yoruma
yer verilmiştir. |
C | III. cümlede, bir yanılgıdan söz edilmiştir. |
D | IV. cümlede, yetersizlik dile getirilmiştir. |
E | V. cümlede, önceki cümleyle ilgili bir açıklama
yapılmıştır. |
7 numaralı soru için açıklama
lV. cümlede dile getirilen şey yetersizlik değil,
titizliktir. Buna göre lV. cümleyle ilgili açıklamanın
yanlış olduğunu söyleyebiliriz.
(Cevap D)
Soru 8 |
(I) Bu gezi kitabında yazar, yalnızca “Ne yenir,
nerede kalınır, nasıl gidilir?” gibi bilinen, pratik
bilgilerle yetinmemiş. (II) Gördüğü yerlerle ilgili
bilinen doğal güzelliklere de yer vermiş, atlanmaması
gereken, nitelikli, detaylı tarihî bilgilere
de. (III) Tüm bunlar, kitabın profesyonel düzeydeki
alt yapısını oluşturmuş. (IV) Bana göre bu
kitabın, öteki gezi kitaplarından ayrılan başka bir
özelliği daha var. (V) O da, anlatılan her yere ilişkin
olarak dile getirilen insan öyküleri, insani
ayrıntılar, küçük öyküler
Bir kitabın anlatıldığı bu parçadaki numaralanmış cümlelerle ilgili olarak aşağıda verilenlerden hangisi yanlıştır?
Bir kitabın anlatıldığı bu parçadaki numaralanmış cümlelerle ilgili olarak aşağıda verilenlerden hangisi yanlıştır?
A | I. cümlede, alışılmışın dışında bilgilere yer
verildiği belirtilmiştir. |
B | II. cümlede, önceki cümlede belirtilenlerle ilgili
açıklama yapılmıştır. |
C | III. cümlede, daha önce anlatılanların kitabın
değerini belirleyen yönler olduğu söylenmiştir. |
D | IV. cümlede, daha sonra söyleneceklerle ilgili
bir giriş yapılmıştır. |
E | V. cümlede, anlatılan pek çok şeyin birbirine
benzediği üzerinde durulmuştur. |
8 numaralı soru için açıklama
Parçanın V. cümlesinde söz konusu kitabın öteki
kitaplardan ayrılan yönü söylenmiştir. E seçeneğinde
ise bu durumun tersine bir açıklama yapılmıştır.
(Cevap E)
Soru 9 |
(I) Sanatçı, bütün yapıtlarında öne sürdüğü
görüşleri aracılığıyla “Doğu ve Batı arasında
köprü kuruyor.” (II) Ancak onun yapıtları, bunun
çok ötesinde bir nitelik taşıyor. (III) En başta
insanın içsel çelişkilerini ustaca betimliyor. (IV)
Yaşamın karmaşıklığının, çeşitliliğinin yorulmak
bilmez bir tanığı bu yapıt. (V) Batı’nın
postmodern roman tekniğini ve Doğu’ya özgü
geleneksel anlatım biçimlerini bir potada eritiyor.
(VI) Herkesi, kendi sorunlarıyla yüz yüze getiriyor.
Bir sanatçının yapıtlarının anlatıldığı bu parçadaki numaralanmış cümlelerden hangisi “içerik” e ilişkin değildir?
Bir sanatçının yapıtlarının anlatıldığı bu parçadaki numaralanmış cümlelerden hangisi “içerik” e ilişkin değildir?
A | I. |
B | III. |
C | IV. |
D | V. |
E | VI. |
9 numaralı soru için açıklama
İçerik cümlesi “Ne anlatılmış?” sorusuna cevap
olabilen cümledir. Buna göre, l, lll, lV ve Vl. cümlelerin
birer içerik cümlesi oldukları söylenebilir.
“Nasıl anlatılmış?” sorusuna cevap olan cümlelere
ise “üslup (biçem)” cümlesi denir. Parçanın V.
cümlesi, söz konusu eserin anlatım tarzıyla ilgili
olduğu için bu cümle içerik değil, “üslup (biçem)”
cümlesidir.
(Cevap D)
Soru 10 |
Türkçe sözcüklerin sonunda yumuşak ünsüzler
(b, c, d, g) bulunmaz, sert ünsüzler (p, ç, t, k) bulunur.
Böyle sözcükler, ünlü ile başlayan bir ek
alınca sondaki sert ünsüzler yumuşar.
Aşağıdaki cümlelerin hangisindeki altı çizili sözcük bu kuralı örneklendirmemektedir?
Aşağıdaki cümlelerin hangisindeki altı çizili sözcük bu kuralı örneklendirmemektedir?
A | İlerlemiş yaşına karşın saçının bir teli bile
ağarmamış. |
B | Yurdunu on yıldır görmediğini söylüyordu. |
C | Bizim sokağın kaldırımları onarılacakmış. |
D | Tarla birkaç kez sürülünce toprağın verimi artıyor. |
E | Anlattıklarının çoğu bilinen şeyler olduğu için
ilgimi çekmemişti. |
10 numaralı soru için açıklama
Soru kökünde ünsüz yumuşamasının tanımı
yapılmış ve bu kurala uymayan sözcük sorulmuştur.
Altı çizili sözcüklerdeki ünsüz yumuşamalarını
açıklayalım:
yurt-u = yurdu “t” “d” ye dönüşmüştür.
sokak-ı = sokağı “k” “ğ” ye dönüşmüştür.
toprak-ı = toprağı “k” “ğ” ye dönüşmüştür.
çok-u = çoğu “k” “ğ” ye dönüşmüştür.
Bazı tek heceli sözcükler ünsüz yumuşaması
kuralına uymaz: top, ip, … saç” sözcüğü de buna
örnektir.
saç-ı = saçı “ç” sesinde bir yumuşama olmamıştır.
(Cevap A)
Soru 11 |
Aşağıda verilen cümlelerin hangisindeki altı
çizili sözcük bağlaç olarak kullanılmamıştır?
A | Derse geciktim, çünkü trafik sıkıştı. |
B | İstersen oraya gideriz de, gece vakti nasıl
döneceğimizi düşünüyorum. |
C | Sabah saçımı kestirdim, sonra taksitleri ödemeye
gittim. |
D | Alışverişe çıktım, yalnız istediğin deterjanı
bulamadım. |
E | Suratı asıktı, meğer bana kızmış. |
11 numaralı soru için açıklama
A, B, D ve E seçeneklerindeki altı çizili sözcükler
bağlaç olarak kullanılmıştır. C seçeneğindeki
“sonra” sözcüğü ise belirteç (zarf) olarak kullanılmıştır.
Cümleye zaman anlamı kattığı için zaman
zarfıdır. Burada çeldirici olabilecek tek seçenek
D seçeneğidir. “yalnız” sözcüğü “fakat”
anlamında kullanılırsa bağlaçtır. D seçeneğindeki
cümlede de bu anlamda kullanılmıştır. Bu sözcük
“sadece” anlamında kullanılsaydı bağlaç olmayacaktı.
(Cevap C)
Soru 12 |
(I) Dönüp dolaşıp yine o parka geldi. (II) Küçük
bir parktı burası. (III) Yeni yapılmıştı. (IV) Birkaç
yıllıktı henüz. (V) Güzel ve sağlamdı kanepeleri
daha. (VI) Her akşamüstü bunlara insanlar oturup
seyrediyorlardı çevreyi. (VII) Ama şimdi bomboş
bunların hepsi.
Bu parçadaki numaralanmış cümlelerden hangileri devrik cümle değildir?
Bu parçadaki numaralanmış cümlelerden hangileri devrik cümle değildir?
A | I. ve II. |
B | I. ve III. |
C | II. ve IV. |
D | IV. ve V. |
E | VI. ve VII. |
12 numaralı soru için açıklama
Yüklemi sonda bulunmayan cümleye devrik
cümle denir. Yani yüklem baştan ya da
ortadaysa cümle devriktir. Buna göre l. ve lll.
cümleler devrik cümle değildir. Çünkü bu cümlelerin
yüklemi sonda yer almaktadır. Yüklemi
sonda bulunan cümlelere kurallı cümle denir. l.
ve lll. cümleler kurallı cümledir.
(Cevap B)
Soru 13 |
Aşağıdakilerden hangisinin yüklemi, işin kısa
sürede gerçekleşebileceği anlamını taşımaktadır?
A | Pencereyi açarsam kuşlar uçuverecek. |
B | Kısa bir sürede varabileceğimizi söyledikleri
yere, ancak yarım saat sonra ulaşacağız. |
C | Yağmur birden bastırırsa ıslanırsınız. |
D | Bürosuna hemen gidersem dilekçemi hazırlayabilecek. |
E | Fotokopicideki işimizi çabucak bitiremezsek
son otobüsü kaçıracağız. |
13 numaralı soru için açıklama
“uçuvermek” tezlik anlamı taşıyan kurallı birleşik
eylemdir. Bu söz, işin kısa sürede gerçekleşebileceği
anlamı katmıştır.
(Cevap A)
Soru 14 |
Masal geleneğinin, söylencelerin büyük ölçüde kaynağı olan Doğu ülkeleri ve [I Anadolu toprakları] Hattilere, Hititlere, [II Truva efsanesine] ev sahipliği yapmıştır. Noel Baba’nın da Keloğlan’ın da yaşadığı topraklar buralardır. [III Alaca Höyük’ün Hattuşaş'ı] "Yüzüklerin Efendisi" gibi filmlere konu olacak zenginliklerle doludur. Böylesine zengin [IV Antik Çağ] söylencelerini ve mitolojilerini barındırdıran Anadolu, kendi mitoloji ve söylencelerini gün
yüzüne çıkarmalı ve [V dünyaya] ciltlerce yapıt hediye etmelidir.
Bu parçadaki numaralanmış sözlerden hangisinin yazımı yanlıştır?
Bu parçadaki numaralanmış sözlerden hangisinin yazımı yanlıştır?
A | I. |
B | II. |
C | III. |
D | IV. |
E | V. |
14 numaralı soru için açıklama
Tarihi dönem isimleri büyük yazılır. Buna göre
“Antik çağ” sözü yanlış yazılmıştır. Doğrusu “Antik
Çağ” şeklindedir. Burada çeldirici olan “Halaca
Höyük” söz grubudur. Bu sözcük genelde bitişik
yazılır diye bilinmektedir. Ancak soruda verilen
şekli doğrudur.
(Cevap D)
Soru 15 |
Fahriye Abla”, “Kar”, “Ağrı” [I ...] Bunlar gibi öteki şiirleri de dilin [II ,] duyguların en incelikli biçimde işlenişinin örnekleridir . Turgut Uyar’ın [III ;] “Çıkışı Türk şiirinde hiçbir şeyle açıklanamaz [IV .] ” dediği şairimiz, yüz yaşına bastı.
Bu parçadaki numaralanmış noktalama işaretlerinden hangisi yanlış kullanılmıştır?
Bu parçadaki numaralanmış noktalama işaretlerinden hangisi yanlış kullanılmıştır?
A | I. |
B | II. |
C | III. |
D | IV. |
E | V. |
15 numaralı soru için açıklama
Parçadaki noktalı virgül (;) yanlış kullanılmıştır. l.
noktalama işareti benzer örneklerin devam edebileceği
anlamını kattığı için doğru kullanılmıştır.
ll. noktalama işareti olan virgül (,) eşgörevli sözcükleri
ayırdığı için doğru kullanılmıştır. lll. noktalama
işareti olan nokta (.) bitmiş cümlenin sonuna
geldiğinden doğru kullanılmıştır. V. noktalama
işareti de bitmiş cümlenin sonuna gelen nokta (.)
olarak doğru kullanılmıştır. Bu noktalama işareti
(.) tırnak işaretinin dışında kullanılsaydı yanlış
olurdu.
(Cevap D)
Soru 16 |
Çocuk [I bir bakıma] hamur gibidir. Annesinin, babasının ona verdiği biçim, onun [II ileride] nasıl bir insan olacağının göstergesidir. Örneğin, [III eğer] bir çocuk sürekli eleştirilirse kınama ve ayıplamayı öğrenir. Öç alma ortamında [IV büyürse kavga etmeyi öğrenir. Hoşgörüyle yetiştirilirse sabırlı olmayı, [V aile içinde] dostluk ve arkadaşlık görürse bu dünyada mutlu olmayı öğrenir.
Bu parçadaki numaralanmış sözlerden hangileri çıkarılırsa anlamda bir daralma olmaz?
Bu parçadaki numaralanmış sözlerden hangileri çıkarılırsa anlamda bir daralma olmaz?
A | I. ve II. |
B | I. ve III. |
C | II. ve III. |
D | II. ve IV. |
E | IV. ve V. |
16 numaralı soru için açıklama
“Nasıl bir insan olacağı” ifadesinde gelecek zaman
anlamı bulunduğu için “ileride” sözünün çıkarılması
anlamda daralmaya yol açmaz. “eleştirilirse”
ifadesinde de “eğer” anlamını “se” eki
karşılamaktadır. Bu durumda “eğer” sözü gereksizdir.
(Cevap C)
Soru 17 |
Böyle bir gereksinmeye ihtiyacımız olduğunu
düşünmüyoruz.
Bu cümledeki anlatım bozukluğu aşağıdaki değişikliklerin hangisiyle giderilebilir?
Bu cümledeki anlatım bozukluğu aşağıdaki değişikliklerin hangisiyle giderilebilir?
A | “bir” sözcüğü atılarak |
B | “gereksinmeye ihtiyacımız” yerine “gereksinmemiz”
sözcüğü getirilerek |
C | “ihtiyacımız” sözcüğü atılarak |
D | “böyle bir” yerine “bu tür” sözü getirilerek |
E | “olduğunu” yerine “olabileceğini” sözcüğü getirilerek |
17 numaralı soru için açıklama
“Gereksinme” sözüyle “ihtiyaç” sözcüğü aynı
anlamdadır. Bu sözlerin bir arada kullanılmaları
anlatım bozukluğuna yol açmıştır. Bu bozukluğu
“gereksinmeye ihtiyacımız” yerine “gereksinmemiz”
sözcüğünü getirerek giderebiliriz.
(Cevap B)
Soru 18 |
Aşağıdaki cümlelerin hangisinde bir anlatım bozukluğu vardır?
A | Önümüzdeki yıl derslerine daha çok çalışacaksın. |
B | Ancak, tatil günlerinde iyice dinleneceksin. |
C | Yıl sonunda bize güzel haberler vereceksin. |
D | Sorumluluklarını eksiksiz olarak yerine getireceksin. |
E | Yeter ki akrabalarını sık sık ziyaret edeceksin. |
18 numaralı soru için açıklama
“Yeter ki akrabalarını sık sık ziyaret edeceksin.”
cümlesinde “edeceksin” yükleminde yanlış kipin
kullanılması anlatım bozukluğuna yol açmıştır.
“edeceksin” yerine “et” kullanılmalıydı. Yani gelecek
zaman kipi yerine emir kipi kullanılmalıydı.
(Cevap E)
Soru 19 |
Aşağıdaki cümlelerin hangisinde bir anlatım
bozukluğu vardır?
A | Alkışlanması gereken ben değil, sporcular. |
B | Burada en çok hoşuma giden şey, eski evler. |
C | Geziye katılamamasının nedeni, işlerinin çok
olması. |
D | Bu sorunu yaratan, kardeşim değil, arkadaşım. |
E | Onu mutlu edecek tek şey, sınavlarının iyi
geçmesi. |
19 numaralı soru için açıklama
“Alkışlanması gereken ben değil, sporcular.”
cümlesinde anlatım bozukluğu vardır. Buradaki
bozukluk “değil” sözcüğünün “değilim” yapılmasıyla
giderilebilir.
(Cevap A)
Soru 20 |
Bazı şeyler hiç eskimiyor, zamana karşı direniyor.
Söz gelimi eski televizyon dizileri… Ülkemden
kilometrelerce uzakta, elimde kumanda, oturmuşum
koltuğa, zamanın bir türlü eskitemediği
tanıdık bir diziyi izliyorum: “Uzay Yolu”.
Benden başka izleyen var mıdır bilmiyorum ama
yayımlandığına göre olmalı. Uzayla ilgili bir dizinin
bana memleketimi hatırlatacağını söyleseler
inanmazdım ama buram buram 1970’ler Türkiye’si
kokuyor bu dizi. Dışarıda güneş: sarı, kuru,
çığırtkan… Arizona’da kış yok, sonbahar bile
yok, kasıp kavuruyor güneş. Ömrüm boyunca
kıştan yakınıp da şimdi böyle bir ortamda olmam,
aslında hiç yakınmamam gereken bir durum.
Ama ben, güneşten kaçmak için perdeler
çekili, tutkuyla “Uzay Yolu”nu izliyorum bugünlerde.
Neden-sonuç içeren cümleler kullanılmıştır.
Bu parçayla ilgili olarak aşağıdakilerden hangisi söylenemez?
Neden-sonuç içeren cümleler kullanılmıştır.
Bu parçayla ilgili olarak aşağıdakilerden hangisi söylenemez?
A | Neden-sonuç içeren cümleler kullanılmıştır. |
B | Duygusal ögelerden yararlanılmıştır. |
C | Düşünceler örnekle pekiştirilmiştir. |
D | Anlatım bütünlüğü göz ardı edilmiştir. |
E | Çağrışımla gelen izlenimlere yer verilmiştir. |
20 numaralı soru için açıklama
A …… Ama ben, ……
B …… buram buram ……
C …… eski televizyon dizileri ……
E …… 1970’ler Türkiye’si ……
(Cevap D)
B …… buram buram ……
C …… eski televizyon dizileri ……
E …… 1970’ler Türkiye’si ……
(Cevap D)
Soru 21 |
Akşam vapuru, adaların küçük iskelelerine teker
teker uğramış, ışıkları seyrede seyrede İstanbul’a
ilerliyor. Kış rüzgârıyla çalkalanan deniz
yüzünden kapılar çarpıyor, iskelede, sancakta
rüzgâr uğulduyor. Koca vapurda bir otobüsün yarısını
bile dolduracak kadar yolcu yok. Tenhalığın
keyfini çıkara çıkara sohbet ediyorlar. Adalardan
İstanbul’un merkezine dönenler bu
kadarcık işte. Yaz aylarında vapurları dolduran
kalabalıklardan eser yok. Ne koltuğunun altına
top sıkıştırmış, burunları güneşten yanmış çocuklar
ne de koridorlara yaydıkları piknik örtülerine
oturmuş ana babalar… Mevsim, İstanbul’un
başka hiçbir yerinde bundan daha büyük söz
hakkına sahip olamaz.
Bu parçayla ilgili olarak aşağıdakilerden hangisi söylenemez?
Bu parçayla ilgili olarak aşağıdakilerden hangisi söylenemez?
A | Kişileştirmeden yararlanılmıştır. |
B | Kimi durumları yeren bir havası vardır. |
C | İkilemeler kullanılmıştır. |
D | Karşılaştırmadan yararlanılmıştır. |
E | Betimleyici anlatım ağır basmaktadır. |
21 numaralı soru için açıklama
A …... mevsim, İstanbul’un ……
C …… seyrede seyrede, teker teker ……
D …… bundan daha büyük ……
parçanın tamamında betimleme yapılmıştır. Parçada kimi durumları yeren bir hava olduğu söylenemez. (Cevap B)
C …… seyrede seyrede, teker teker ……
D …… bundan daha büyük ……
parçanın tamamında betimleme yapılmıştır. Parçada kimi durumları yeren bir hava olduğu söylenemez. (Cevap B)
Soru 22 |
Şiirlerimdeki, doğayla ilgili ayrıntılar yaşamımdan
izler taşıyor. Anadolu’daki küçük bir kasabada,
doğanın kucağında bahçeli bir evde büyüdüm.
Böceklerin seslerini tanıyan, ağaçlara tırmanan,
meyveleri dalından koparan bir çocuktum. Dut
ağacı sallamışlığım, dut yemişliğim çoktur örneğin.
“Dutluk” şiirini bunların etkisiyle yazdım. Bir
yazımın adı da “Ben Doğanın Okulundan Hiç
Mezun Olmadım.” oldu. Orada doğanın kucağında
kendimi duydum ben hep. Doğa ile şiirlerim
arasında bir bağ kurdum.
Bu sözlerine göre şair aşağıdakilerden hangisiyle nitelendirilebilir?
Bu sözlerine göre şair aşağıdakilerden hangisiyle nitelendirilebilir?
A | Düşle donanmamış duyguların şiirinin yazılmayacağına
inanan |
B | Öğrenmenin sınırsız olduğunu düşünen |
C | Şiirlerinde çocuklara seslenen |
D | Çevresindekilerin etkisiyle şiire başlayan |
E | Şiirlerinin, çocukluğunda yaşadığı çevreden
beslendiğini düşünen |
22 numaralı soru için açıklama
Parçada konuşan şair, eserlerinde çocukluğunda
yaşadığı çevreden beslendiği açıktır. Eserine ait
olarak seçtiği ifade de bunun delilidir.
(Cevap E)
Soru 23 |
Babam her zaman bize şöyle der: Hayatta inişler
çıkışlar olabilir. Ama özellikle bir kız çocuğunun,
yalnız olduğunda bile ayakta kalabilmesi için öğrenim
görmüş olması gerekir. Yaşamda sahip
olduğun her şey bir anda yok olabilir ya da yapayalnız
kalabilirsin. İşte böyle durumlarda, gördüğün
öğrenim, yaşama yeniden başlamana yardım
eder. Bu yalnızca kadınlar için değil, birey
olarak hepimiz için geçerlidir.
Bu parçada asıl anlatılmak istenen aşağıdakilerden hangisidir?
Bu parçada asıl anlatılmak istenen aşağıdakilerden hangisidir?
A | Bir babanın çocuklarına olan bağlılığı |
B | Büyüklerin gençlerden daha deneyimli olduğu |
C | Okumuş olmanın insanları güçlü kıldığı |
D | Kız çocuklarının babalarını örnek aldığı |
E | Geleceğin, düşünerek kurulabileceği |
23 numaralı soru için açıklama
Parçada, öğrenim görmüş olmanın insana güven
verdiği ve insanı güçlü kıldığı vurgulanmıştır.
(Cevap C)
Soru 24 |
Çocukken okuduğum kitapların yüreğimde apayrı
bir yeri vardır. Bu kitaplar saçları kurdeleli, ele
avuca sığmaz bir çocuk olduğum günleri de bana
anımsatır. O kitapların dünyasına girdiğim
günleri düşünüyorum. Önce Andersen daha sonra
Grimm Masalları’yla tanışınca kitaplardan
kopamaz olmuştum. Sonra Heidi’nin serüvenleriyle
iç içe olduğum günler başladı. Artık doğayı
ve insanları tanıyordum. Aradan nice yıllar geçti,
hâlâ onları unutamıyorum. Şimdi bile ne zaman
bunalsam bana yaşamın kapısını açan o kitapların
bendeki izlerine sığınırım.
Bu parçadan aşağıdakilerin hangisine ulaşılabilir?
Bu parçadan aşağıdakilerin hangisine ulaşılabilir?
A | Okunacak kitapların düzeyi yaşa göre değişir. |
B | Yetişkinlik döneminde okunanların yaşamı
anlamada katkısı sınırlıdır. |
C | Masal okumayanların hayal dünyası yeterince
gelişmez. |
D | Çocukken okunan kitapların etkisi kolay kolay
silinmez. |
E | Okuma zevki yetişme koşullarına göre farklılık
gösterir. |
24 numaralı soru için açıklama
Parçada, çocuklukta okunan kitaplardan söz
edilmiş ve bu kitapların yetişkinlikte de unutulmadığı
vurgulanmıştır. Bu anlam D seçeneğindeki
cümlede özetlenmiştir. (Cevap D)
Soru 25 |
Ben gerçekte bir dergi yazarıyım. Ama insan ne
yazarsa yazsın, birbirinden kopuk olmuyor yazdıkları.
Çünkü düşüncelerin kaynağı sizsiniz sonunda.
Bir süre sonra yazıları bir araya topladığımda
onların bir kitap bütünlüğüyle yayımlanabileceğini
gördüm. Güncel olmaktan çok, yarına
kalacak, Türkçenin tadını yansıtan bu yazıların
dergi sayfalarında unutulup gitmesine gönlüm
elvermedi. Bu kitap böyle bir kaygı sonunda ortaya
çıktı.
Böyle diyen bir yazar için aşağıdakilerden hangisi söylenebilir?
Böyle diyen bir yazar için aşağıdakilerden hangisi söylenebilir?
A | Dergi yazarlığını sıradan bir iş olarak gören |
B | Kalıcı, nitelikli, birbiriyle konusal açıdan ilgili
yazılar yazan |
C | Düşünceleriyle ön plana çıkmak isteyen |
D | Yazdıkları herkes tarafından çok beğenilen |
E | Kendini rahatsız eden sorunları çözmeye çalışan |
25 numaralı soru için açıklama
Dergide yayımlanan yazıların daha sonra kitaplaştırıldığının
anlatıldığı parçada, yazılan yazıların
birbiriyle konu olarak ilgili olduğu, bunun yanında
nitelikli yazılar olduğu anlamı vardır.
(Cevap B)
Soru 26 |
Bir röportajında şöyle diyor: “Yabancı bir kent ne
kadar güzel olursa olsun, ana yurttaki sıradan bir
kentin bile yerini tutamaz. Türkiye’yi çok
özlüyorum. Ben ülkemin şairiyim. Birkaç yıldır şiirlerimi
Fransızcaya çeviriyorum. Amacım dünyanın
en önemli sanat merkezlerinden biri olan
Paris’te, şiirlerimi Fransız edebiyatseverlere duyurabilmek.
Ülkemin adından şiirle söz ettirmek,
bana gurur veriyor.”
Aşağıdakilerden hangisi, bu sözleri söyleyen kişinin bir özelliğidir?
Aşağıdakilerden hangisi, bu sözleri söyleyen kişinin bir özelliğidir?
A | Ülkesini tanıtma çabası içinde olma |
B | Farklı yaşam biçimlerine uyum sağlayamama |
C | Şiirlerinin eskimezliğine inanma |
D | Yurdundaki sorunlara ilgisiz kalamama |
E | Başka ülkelerin yaşam biçimini beğenmeme |
26 numaralı soru için açıklama
Parçada konuşan kişi, Türkçe yazdığı şiirlerini
Fransızcaya çevirmenin amacını ülkesinin adını
ve şiirini tanıtma çabası olarak belirtmiştir.
(Cevap A)
Soru 27 |
Öykü kahramanlarımı gerçek insanlardan damıtırım
ben. Onların sabırla, inatla peşlerine düşerim.
Benim için Anadolu, yalnızca folklorik malzeme
deposu değil, öyküsü yazılacak insanların
da kaynağıdır. Resmi yapılmadan, öyküsü yazılmadan
ne çok insan geçmiştir bu topraklardan.
Birkaçı anonim türkülerde yaşamıştır belki.
Ancak gazete haberi olunca ayırtına varılan bu
insanlar, bana göre öykülerini içlerinde saklayan
istiridyelerdir. Böyle olunca da bana, inciyi bulup
çıkarmak kalıyor.
Böyle diyen bir yazarın öykü kişileriyle ilgili olarak aşağıdakilerden hangisi söylenebilir?
Böyle diyen bir yazarın öykü kişileriyle ilgili olarak aşağıdakilerden hangisi söylenebilir?
A | Düş dünyalarının gelişmiş olduğu |
B | Başkaları tarafından da işlenmiş olduğu |
C | Yeni anlatım teknikleriyle yansıtıldığı |
D | Anlatılmaya değer gizli yönler taşıdığı |
E | Örnek alınacak özelliklerinin bulunduğu |
27 numaralı soru için açıklama
Parçanın son kısımlarına doğru öykü kahramanı
olabilecek kişilerin açıkta olmadıkları, gizlendikleri
söylenmiştir. Bundan hareketle yazarın öykü
kişileriyle ilgili olarak D seçeneğindeki yargıya
varılabilir.
(Cevap D)
Soru 28 |
Öfkeye kapıldığınızda öfkenizi ya bağırıp çağırarak
çevrenize yansıtacaksınız ya da kendinizi
frenleyerek bastıracaksınız ve gülümsemeyi sürdüreceksiniz.
Çalışmalar, her iki yaklaşımın da
sağlık açısından zararlı olduğunu gösteriyor.
Öyleyse ne yapmalı? Öfkenizi serbest bırakmalısınız
ama kontrollü olarak. Bu nasıl olacak? Sorunu
belirleyip onu akılcı bir çözüme kavuşturmayı
deneyerek… Örneğin birisine sinirlendiyseniz
onunla kararlı olarak ama saldırgan olmayan
bir tarzda konuşmalısınız. Ya da sizi ne öfkelendiriyorsa
olanağı varsa buna hazırlıklı olmak,
daha iyisi ondan uzak durmak, doğru bir
yol olarak öneriliyor.
Bu parçada, öfkelenmeyle ilgili olarak önerilenler arasında aşağıdakilerden hangisi yoktur?
Bu parçada, öfkelenmeyle ilgili olarak önerilenler arasında aşağıdakilerden hangisi yoktur?
A | Bir daha oluşmaması için önlem almak |
B | Yaratan kişiyle sakin ama kesin bir tavırla
konuşmak |
C | Öfkesini denetimli olarak dışa vurmak |
D | Ortaya çıktığında yapılacakları belirlemek |
E | Hiçbir şey olmamış gibi davranmaya çalışmak |
28 numaralı soru için açıklama
A …… akılcı bir çözüme ……
B ……saldırgan olmayan ……
C …… serbest bırakmalısınız ama ……
D ……buna hazırlıklı olmak ……
Parçada önerilenler arasında hiçbir şey olmamış gibi davranmaya çalışmak yoktur. (Cevap E)
B ……saldırgan olmayan ……
C …… serbest bırakmalısınız ama ……
D ……buna hazırlıklı olmak ……
Parçada önerilenler arasında hiçbir şey olmamış gibi davranmaya çalışmak yoktur. (Cevap E)
Soru 29 |
Bugün çoğu yazarımız günlük deyince yalnızca
kişisel duygularını yazmayı anlıyor, çağına tanıklık
etmek yerine. Oysa günlükler, edebî bir tür
olmanın dışında hem yazarların edebî duruşlarını
hem de tanıklık ettikleri dönemi anlamamızın
birincil araçlarındandır.
Buna göre, özellikle genç yazarlarımızın dikkatle
okuması gereken yapıtlardır günlükler. Günlük
tutmanın kültürel bir alışkanlık olarak toplumumuzda
yeterince yer edinmemiş olması, edebiyatımızda
bu türün zayıf kalmasına neden olmuştur.
Bu parçada günlüklerle ilgili olarak aşağıdakilerin hangisine değinilmemiştir?
Bu parçada günlüklerle ilgili olarak aşağıdakilerin hangisine değinilmemiştir?
A | Yalnızca yazarın yaşamını yansıtmasının
yanlış olduğuna |
B | Yazmaya yeni başlayanlar için yararlı bilgiler
içerdiğine |
C | Özel yaşama ilişkin olanların, okurun ilgisini
çekmediğine |
D | Çok yazılan bir tür olmadığı için gelişmediğine |
E | Yaşanılan dönemle ilgili bilgiler içerdiğine |
29 numaralı soru için açıklama
A …… oysa günlükler ……
B …… genç yazarlarımızın ……
D …… zayıf kalmasına ……
E …… tanıklık ettikleri ……
Günlüklerle ilgili olarak parçada özel yaşama ilişkin olanların, okurun ilgisini çekmediğine değinilmemiştir. (Cevap C)
B …… genç yazarlarımızın ……
D …… zayıf kalmasına ……
E …… tanıklık ettikleri ……
Günlüklerle ilgili olarak parçada özel yaşama ilişkin olanların, okurun ilgisini çekmediğine değinilmemiştir. (Cevap C)
Soru 30 |
Büyük ozanımız Cahit Sıtkı Tarancı’nın aynı
zamanda bir öykücü olduğunu biliyor musunuz?
Hemen belirteyim, öykü yazarı olarak bir Oktay
Akbal ya da Orhan Kemal değildir. Ama kendine
özgü bir biçemi, kendine özgü bir kurgu yaklaşımı,
kendine özgü bir anlatı evreni olan özgün bir
öykücü olduğu da kuşku götürmez bence. “Gün
Eksilmesin Penceremden”de yer alan kırk üç öykünün
en az dörtte üçü tanıklık etmektedir buna.
Bu parçaya göre Cahit Sıtkı Tarancı ve öyküleriyle ilgili olarak aşağıdakilerden hangisi söylenemez?
Bu parçaya göre Cahit Sıtkı Tarancı ve öyküleriyle ilgili olarak aşağıdakilerden hangisi söylenemez?
A | Kendinden önceki sanatçıları, izlenmeye değer
bulmadığı |
B | Başkalarından farklı bir anlatım biçimi olduğu |
C | Çoğunun benzer nitelikler taşıdığı |
D | Kimi yazarlar kadar yetkin olmadığı |
E | Öykülerini yapılandırırken değişik bir yol izlediği |
30 numaralı soru için açıklama
Parçada Cahit Sıtkı Tarancı ve öyküleriyle ilgili
olarak kendinden önceki sanatçıları, izlenmeye
değer bulmadığına değinilmemiştir. B, C, D ve E
seçeneklerindeki ifadelerin karşılıkları parçada
vardır.
(Cevap E)
Soru 31 |

olduğuna göre, x kaçtır?
A | 3 |
B | 2 |
C | 1 |
D | -1 |
E | -2 |
31 numaralı soru için açıklama
Üslü ifadelerin tabanlarını 3 yapalım.

(Cevap B)

(Cevap B)
Soru 32 |

A | Şıkkı |
B | Şıkkı |
C | Şıkkı |
D | Şıkkı |
E | Şıkkı |
32 numaralı soru için açıklama

Soru 33 |
A | Şıkkı |
B | Şıkkı |
C | Şıkkı |
D | Şıkkı |
E | Şıkkı |
33 numaralı soru için açıklama

Soru 34 |
A | -3 |
B | -2 |
C | 1 |
D | 2 |
E | 3 |
34 numaralı soru için açıklama

Soru 35 |
A | 12 |
B | 14 |
C | 15 |
D | 18 |
E | 20 |
35 numaralı soru için açıklama

Soru 36 |

A | Şıkkı |
B | Şıkkı |
C | Şıkkı |
D | Şıkkı |
E | Şıkkı |
36 numaralı soru için açıklama


Soru 37 |
a ve k pozitif tam sayılar olmak üzere,
6! = 2k . a
eşitliğinde k en büyük değerini aldığında a kaç olur?
6! = 2k . a
eşitliğinde k en büyük değerini aldığında a kaç olur?
A | 15 |
B | 25 |
C | 30 |
D | 45 |
E | 60 |
37 numaralı soru için açıklama

Soru 38 |
a ve b birer pozitif tam sayı olmak üzere,
ekok(a, b) = 2 . 32
olacak biçimde kaç farklı (a, b) sıralı ikilisi vardır?
ekok(a, b) = 2 . 32
olacak biçimde kaç farklı (a, b) sıralı ikilisi vardır?
A | 6 |
B | 12 |
C | 13 |
D | 14 |
E | 15 |
38 numaralı soru için açıklama
a ve b birer pozitif tamsayıdır.
ekok(a, b) 232 verilmiş fakat ebob(a, b) hakkında
bir sınırlama olmamıştır.
ekok(a, b) ebob(a, b) k, k
olduğundan ebob(a, b), ekok(a, b) yi böler. Buradan;
ebob(a, b) yi ekok(a, b) 232 sayısının
pozitif bölenleri arasından alabiliriz.
ekok(a, b) 232 sayısının pozitif bölenleri 1, 2,
3, 6, 9, 18 dir. Yani ebob(a, b) 1, 2, 3, 6, 9, 18
sayılarının her biri olabilir. Bu bilgileri göz önünde
tutarak (a, b) sıralı ikililerini yazalım. (a, b) ikilileri;
ebob(a, b) 1 (1, 18), (18, 1), (2, 9), (9, 2)
ebob(a, b) 2 (2, 18), (18, 2)
ebob(a, b) 3 (3, 18), (18, 3), (6, 9), (9, 6)
ebob(a, b) 6 (18, 6), (6, 18)
ebob(a, b) 9 (18, 9), (9, 18)
ebob(a, b) 18 (18, 18) olabilir.
Buradan 15 farklı (a, b) ikilisi yazılabileceği görülür.
(ÖSYM doğru cevabı A olarak kodlamıştır. Ancak
bu sorunun doğru cevabı E dir.)
(Cevap E)
Soru 39 |
eşitsizliğinin çözüm kümesi,

kümelerinin hangilerinin birleşimiyle oluşmuştur?
A | Yalnız ll |
B | Yalnız lll |
C | l ve lll |
D | l ve lV |
E | ll ve lV |
39 numaralı soru için açıklama

Soru 40 |
(x + y)2 = 2
x2 + y2 = 3
olduğuna göre, x . y çarpımı kaçtır?
olduğuna göre, x . y çarpımı kaçtır?
A | Şıkkı |
B | Şıkkı |
C | Şıkkı |
D | Şıkkı |
E | Şıkkı |
40 numaralı soru için açıklama

Soru 41 |
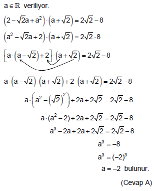
a bir gerçel sayı olmak üzere,

olduğuna göre, a kaçtır?
olduğuna göre, a kaçtır?
A | -2 |
B | -1 |
C | 0 |
D | 1 |
E | 2 |
41 numaralı soru için açıklama

Soru 42 |
k bir doğal sayı olmak üzere, 1 den k ye kadar
olan sayıların toplamı a, 9 dan k ye kadar olan
sayıların toplamı ise b ile gösteriliyor.
a + b = 4254 olduğuna göre, a kaçtır?
a + b = 4254 olduğuna göre, a kaçtır?
A | 2145 |
B | 2146 |
C | 2148 |
D | 2150 |
E | 2154 |
42 numaralı soru için açıklama
Verilen ifadeyi matematik diline çevirelim.
1 den k ya kadar olan sayıların toplamı a:
1 + 2 + 3 + … + 9 + 10 + 11 + … + k a
9 dan k ya kadar olan sayıların toplamı b:
9 + 10 + 11 + … + k b
a b eşitini bulalım.
1 + 2 + 3 +…+ 8 + 9 + 10 + 11 + 12 +…+ k a
9 + 10 + 11 + 12 +…+ k b



Soru 43 |
A = {a, b, c, d, e} kümesi aşağıda verilen * işlemi ile bir değişmeli grup oluşturmaktadır.


A | a |
B | b |
C | c |
D | d |
E | e |
43 numaralı soru için açıklama

Soru 44 |
32 kişinin katıldığı bir sınavda her bir öğrenci
matematik ya da fen testlerinden en az birini
yapmıştır. Yalnız matematik testini yapan öğrenci
sayısı fen testini yapan öğrenci sayısının 2 katından
4 eksiktir.
Buna göre, yalnız matematik testini yapan öğrenci sayısı kaçtır?
Buna göre, yalnız matematik testini yapan öğrenci sayısı kaçtır?
A | 12 |
B | 14 |
C | 16 |
D | 18 |
E | 20 |
44 numaralı soru için açıklama

Soru 45 |
x sayıda işçinin günde 10 saat çalışmasıyla 15
günde bitirilebilen bir iş, işçi sayısı artırılarak ve
günde 8 saat çalışılarak 12 günde bitirilebiliyor.
Buna göre, x aşağıdakilerden hangisi olabilir?
Buna göre, x aşağıdakilerden hangisi olabilir?
A | 10 |
B | 12 |
C | 18 |
D | 24 |
E | 32 |
45 numaralı soru için açıklama

Soru 46 |
Adnan, arkadaşına “5 yıl sonra yaşım, doğum
yılımın rakamları toplamına eşit olacak.” diyor.
Bu konuşma 2000 yılında geçtiğine göre, Adnan hangi yıl doğmuştur?
Bu konuşma 2000 yılında geçtiğine göre, Adnan hangi yıl doğmuştur?
A | 1964 |
B | 1973 |
C | 1975 |
D | 1979 |
E | 1980 |
46 numaralı soru için açıklama

Soru 47 |
Sıfırdan büyük a, b, c sayıları sırasıyla 2, 4, 6
sayıları ile orantılı ve

olduğuna göre, a + b + c toplamı kaçtır? a, b, c sayıları sırasıyla 2, 4, 6 sayıları ile orantılıdır. Buradan
olur.
olduğuna göre, a + b + c toplamı kaçtır? a, b, c sayıları sırasıyla 2, 4, 6 sayıları ile orantılıdır. Buradan
A | 5 |
B | 6 |
C | 7 |
D | 8 |
E | 10 |
47 numaralı soru için açıklama

Soru 48 |
Bir deniz motoru AB yolunu saatte (v + 20) km
hızla 24 dakikada, aynı yolu saatte (v 6) km
hızla 32 dakikada alıyor.
Buna göre, AB yolu kaç km dir?
Buna göre, AB yolu kaç km dir?
A | 40,2 |
B | 40,8 |
C | 41,2 |
D | 41,6 |
E | 41,8 |
48 numaralı soru için açıklama

Soru 49 |
Belirli bir yükseklikten bırakılan bir top, yere vuruşundan sonra bir önceki yüksekliğinin
i kadar yükselmektedir.
Top yere ikinci vuruşundan sonra 108 cm yükseldiğine göre, birinci vuruşundan sonra kaç cm yükselmiştir?
Top yere ikinci vuruşundan sonra 108 cm yükseldiğine göre, birinci vuruşundan sonra kaç cm yükselmiştir?
A | 160 |
B | 162 |
C | 168 |
D | 204 |
E | 208 |
49 numaralı soru için açıklama

Soru 50 |
Aşağıdaki şekilde verilen havuzun üst kısmında
havuzu dolduran 1 ve 2 numaralı musluklar, tam
ortasında ise havuzun yarısını boşaltabilen 3
numaralı musluk bulunmaktadır.

1 numaralı musluk boş havuzu tek başına 8 saatte, 2 numaralı musluk ise boş havuzu tek başına 4 saatte doldurmaktadır.
Bu muslukların üçü aynı anda açıldığında havuz
saatte dolduğuna göre, 3 numaralı
musluk havuzun yarısını kaç saatte boşaltır?

1 numaralı musluk boş havuzu tek başına 8 saatte, 2 numaralı musluk ise boş havuzu tek başına 4 saatte doldurmaktadır.
Bu muslukların üçü aynı anda açıldığında havuz
A | 4 |
B | 6 |
C | 8 |
D | 9 |
E | 12 |
50 numaralı soru için açıklama

Soru 51 |

Şekildeki A ve B noktalarından aynı anda hareket eden iki araç, birbirlerine doğru hareket ettiklerinde C noktasında karşılaşıyorlar. Aynı yönde hareket ettiklerinde biri diğerine D noktasında yetişiyor. Buna göre x kaçtır?
A | 8 |
B | 12 |
C | 13 |
D | 15 |
E | 16 |
51 numaralı soru için açıklama
A dan çıkan araç ile B den çıkan araç t saat sonra C de karşılaşıyor. Karşılaşma süreleri eşittir.

Soru 52 |
Bir satıcı etiket fiyatı 300 TL olan bir ürüne önce
%20, sonra indirimli fiyat üzerinden %x indirim
yapıyor.
Satıcı ürünü ikinci indirimden sonra 168 TL ye sattığına göre, x kaçtır?

Satıcı ürünü ikinci indirimden sonra 168 TL ye sattığına göre, x kaçtır?

A | 20 |
B | 25 |
C | 30 |
D | 35 |
E | 40 |
Soru 53 |
3 ü kız 4 ü erkek olan bir grup yan yana oturacaktır.
Bu oturumda 3 kız öğrencinin yan yana bulunma olasılığı kaçtır?
Bu oturumda 3 kız öğrencinin yan yana bulunma olasılığı kaçtır?
A | Şıkkı |
B | Şıkkı |
C | Şıkkı |
D | Şıkkı |
E | Şıkkı |
53 numaralı soru için açıklama

Soru 54 |
Tuz oranı %20 olan tuzlu sudan 30 litre su buharlaştırılırsa
yeni tuz oranı %30 oluyor.
Buna göre, başlangıçtaki tuzlu su miktarı kaç litredir?
Buna göre, başlangıçtaki tuzlu su miktarı kaç litredir?
A | 120 |
B | 100 |
C | 90 |
D | 80 |
E | 60 |
54 numaralı soru için açıklama

Soru 55 |
Aşağıdaki şekilde, uç noktaları A ve D olan bir su
bitkisinin durgun [OA] ve rüzgârlı havadaki [OD]
konumu gösterilmiştir.

Buna göre x kaç cm dir?

Buna göre x kaç cm dir?
A | 26 |
B | 28 |
C | 30 |
D | 32 |
E | 35 |
55 numaralı soru için açıklama

Soru 56 |
A | Şıkkı |
B | Şıkkı |
C | Şıkkı |
D | Şıkkı |
E | Şıkkı |
56 numaralı soru için açıklama

Soru 57 |

Yukarıdaki dik koordinat sisteminde K(4, 3) noktasından geçen doğru x eksenini apsisi a olan, y eksenini de ordinatı b olan noktalarda kesmektedir. Buna göre, (a - 4)(b - 3) çarpımının değeri kaçtır?
A | 8 |
B | 12 |
C | 14 |
D | 16 |
E | 18 |
57 numaralı soru için açıklama

Soru 58 |
58. - 60. SORULARI AŞAĞIDAKİ BİLGİLERE GÖRE CEVAPLAYINIZ.
Aşağıdaki grafik, bir şirketin 2004, 2005, 2007 ve 2008 yıllarında giyim ve gıda alanında yaptığı ihracat tutarlarını göstermektedir.

Grafikte 2006 yılında yapılan gıda ve giyim ihracat tutarları gösterilmemiştir.
2005 yılında yapılan toplam ihracat x bin TL fazla, 2007 yılında yapılan toplam ihracat x bin TL az olsaydı iki yılda yapılan ihracat tutarları eşit olacaktı.
Buna göre x kaçtır?
Aşağıdaki grafik, bir şirketin 2004, 2005, 2007 ve 2008 yıllarında giyim ve gıda alanında yaptığı ihracat tutarlarını göstermektedir.

Grafikte 2006 yılında yapılan gıda ve giyim ihracat tutarları gösterilmemiştir.
2005 yılında yapılan toplam ihracat x bin TL fazla, 2007 yılında yapılan toplam ihracat x bin TL az olsaydı iki yılda yapılan ihracat tutarları eşit olacaktı.
Buna göre x kaçtır?
A | 150 |
B | 200 |
C | 250 |
D | 300 |
E | 350 |
58 numaralı soru için açıklama

Soru 59 |
Şirketin 2008 yılındaki gıda ihracatı 2004
yılına göre yüzde kaç azalmıştır?
A | 52,5 |
B | 55 |
C | 60 |
D | 62,5 |
E | 65 |
59 numaralı soru için açıklama

Soru 60 |
Aşağıda şirketin yıllara göre toplam ihracatının
daire grafiğiyle gösterimi verilmiştir.

Buna göre, 2006 yılında yaptığı gıda ve giyim ihracat tutarları (gıda; giyim) bin TL türünden aşağıdakilerden hangisi olamaz?

Buna göre, 2006 yılında yaptığı gıda ve giyim ihracat tutarları (gıda; giyim) bin TL türünden aşağıdakilerden hangisi olamaz?
A | (150; 350) |
B | (200; 300) |
C | (250; 250) |
D | (300; 200) |
E | (350; 250) |
60 numaralı soru için açıklama

Sınavı tamamlamak için butona tıklayınız, yanlışlarınız gösterilecektir.
Sonuçları al.
60 tamamladınız.
← |
Liste |
→ |
Geri dön
Tamamlananlar işaretlendi.
| 1 | 2 | 3 | 4 | 5 |
| 6 | 7 | 8 | 9 | 10 |
| 11 | 12 | 13 | 14 | 15 |
| 16 | 17 | 18 | 19 | 20 |
| 21 | 22 | 23 | 24 | 25 |
| 26 | 27 | 28 | 29 | 30 |
| 31 | 32 | 33 | 34 | 35 |
| 36 | 37 | 38 | 39 | 40 |
| 41 | 42 | 43 | 44 | 45 |
| 46 | 47 | 48 | 49 | 50 |
| 51 | 52 | 53 | 54 | 55 |
| 56 | 57 | 58 | 59 | 60 |
| Son |
Geri dön
Başarıyla tamamladınız.
sorular
soru
Aldığınız skor
Doğru
Yanlış
Partial-Credit
Sınavı henüz tamamlamadınız. Eğer sayfadan ayrılırsanız, verdiğiniz yanıtlar kaybolacak!
Correct Answer
You Selected
Not Attempted
Final Score on Quiz
Attempted Questions Correct
Attempted Questions Wrong
Questions Not Attempted
Total Questions on Quiz
Question Details
Results
Date
Score
İpucu
Time allowed
minutes
seconds
Time used
Answer Choice(s) Selected
Question Text
Sona erdi
Daha çok pratiğe ihtiyaç var
Böyle devam et
Kötü değil
Güzel
Mükemmel
[kpss]