f ve g [a, b] aralığında integrallenebilen iki fonksiyon ve k sabit bir reel sayı olsun.


integralinin değeri kaçtır?
A) 2 B)1 C)0 D)–1 E) –2






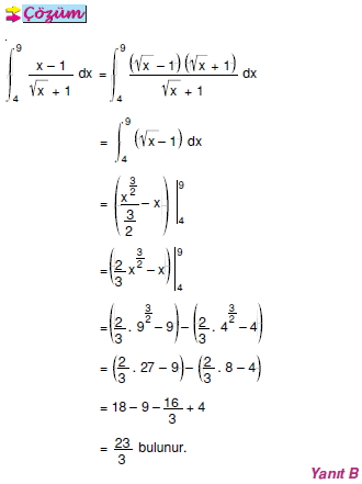
integralinin değeri kaçtır?
A) 10 B) 12 C) 14 D) 16 E) 18




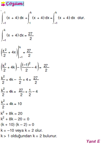
olduğuna göre, k kaçtır?
A)6 B)5 C)4 D)3 E)2




olduğuna göre, k kaçtır?
A)6 B)5 C)4 D)3 E)2


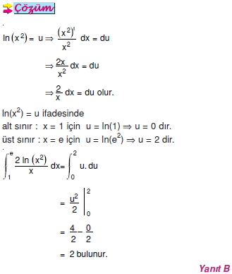
integralinin değeri kaçtır?
A)1 B)2 C)3 D)4 E)5






![]()

integralinde x + 1 = u dönüşümü yapılırsa aşağıdaki integrallerden hangisi elde edilir?



integralinde u = tanx dönüşümü yapılırsa aşağıdaki integrallerden hangisi elde edilir?





integralinde u = arcsinx dönüşümü yapılırsa aşağıdaki integrallerden hangisi elde edilir?


[matematik_2_lys]