Parçalı Fonksiyonların İntegralleri

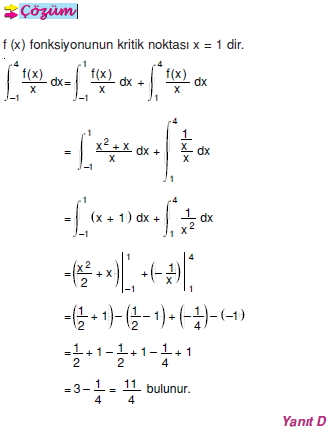
Parçalı fonksiyonların kritik noktalarında integral, parçalı integraller toplamı şeklinde yazılır.

001

002

003

004

[matematik_2_lys]

Yorum Yazarken Türkçe Kurallarına Uyarak Yazınız Lütfen!

E-posta adresiniz yayınlanmayacak. Gerekli alanlar * ile işaretlenmişlerdir

This site uses Akismet to reduce spam. Learn how your comment data is processed.

Filtreleme Seçenekleri
[searchandfilter id="25236"]
Ana Menü