Temel Kavramlar VI
Pozitif ve Negatif Sayılar
Sıfırdan büyük olan sayılar pozitif, sıfırdan küçük olan sayılar negatif sayılardır.

Pozitif sayıların bütün kuvvetleri pozitiftir. Negatif sayıların çift kuvvetleri pozitif, tek kuvvetleri negatiftir.
Uyarı:

Örnek:

Çözüm:

Yanıt C
Örnek:
n tamsayıdır.

olduğuna göre, x, y ve z nin işaretleri sırasıyla aşağıdakilerden hangisidir?
A) –, +, – B) +, –, + C) –, –, + D) –, –, – E) +, –, –
Çözüm:

Yanıt D
Ardışık Sayılar
Belirli bir kurala göre, artan ya da azalan sayılara ardışık sayılar denir.
n tamsayı olmak üzere,
Ardışık tamsayılar:…, n, n+1, n+2, …
Ardışık çift tamsayılar: …,2n, 2n + 2, 2n + 4, …
Ardışık tek tamsayılar …, 2n – 1, 2n + 1, 2n + 3,…
Ardışık ve 3 ün katı olan tamsayılar
…, 3n, 3n + 3, 3n + 6, …
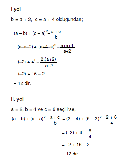
Örnek:
a, b ve c ardışık çift sayma sayıları ve a < b < c olduğuna göre,

ifadesinin değeri kaçtır?
A) 8 B) 10 C) 12 D) 14 E) 16
Çözüm:

Yanıt C
Örnek:
(2n – 11) ile (n + 5)
ardışık iki tek sayı olduğuna göre, n’nin alabileceği
değerler toplamı kaçtır?
A) 30 B) 31 C) 32 D) 33 E) 34
Çözüm:

Yanıt C
[matematik_1_ygs]
Bu site harika bir site olmuş teşekkür ederiz.